Người tính không bằng Mặt trời tính! Định luật II Nhiệt động học và Thuyết tiến hóa, Phần 2

Nếu quý vị hỏi quan điểm thật tâm của tôi xem thế kỷ này sẽ được gọi là thế kỷ của sắt thép, hay thế kỷ của hơi nước hay điện, tôi xin trả lời không do dự: đây sẽ là thế kỷ của góc nhìn cơ giới về Tự nhiên, thế kỷ của Darwin.

Thần đồng vật lý Ludwig Boltzmann (1844-1906), một trong những người có đóng góp quan trọng nhất đến khái niệm entropy

Nguồn hình đầu bài

Lần trước, chỉ bằng kiến thức căn bản và lý luận đơn giản, ta đã nhận ra Định luật II không mâu thuẫn với thuyết tiến hóa. Có chăng là mâu thuẫn với cách hiểu ĐL II như là sự lộn xộn tăng không phanh. Nhà vật lý Daniel F. Styler giải thích rằng “hỗn loạn” chỉ là một sự ẩn dụ (metaphor) của entropy, không phải định nghĩa của entropy. Phép ẩn dụ – lấy một thứ này để chỉ thứ kia – là dùng để gợi mở, gợi cảm chứ không thể/không nên hoàn toàn chính xác. Một tấm bản đồ là ẩn dụ của địa hình: bản đồ nó giúp ta hiểu nhiều thông tin về địa hình, nhưng nếu nó thật sự to bằng địa hình, nó sẽ vô dụng.

Trong bài này, tôi muốn gửi đến các bạn những phép tính chứng minh ĐL II cho phép tiến hóa xảy ra. Tôi đã trình bày đơn giản hết sức có thể hai bài báo đã được bình duyệt của các nhà vật lý Daniel F. StylerEmory F. Bunn để tất cả mọi người dù có yếu toán lý như tôi cũng hiểu được :D. Mời các bạn theo dõi.

A. XÁC ĐỊNH KHUNG THÀNH – TA CẦN TÍNH TOÁN GÌ?

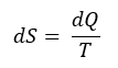
Định luật II Nhiệt động học: Trong một hệ kín, entropy có xu hướng tăng lên. Nói tiếng Toán:

d ở đây có thể hiểu sơ sơ là sự thay đổi, vậy dS/dt thể hiện sự thay đổi của entropy (S) theo sự thay dổi của thời gian (t).

Chúng ta đã biết ĐL II chỉ áp dụng cho hệ kín, nghĩa là dQ = 0 (tổng năng lượng không thay đổi). Trái Đất riêng nó không phải hệ kín. Nếu muốn có một hệ kín để (gượng) áp ĐL II vào tiến hóa sự sống trên thì phải là hệ Trái Đất – mặt trời.

Tôi lại mượn lời Giáo sư Nguyễn Tiến Zũng: “Ên Trô Pỳ luồn lách mọi nơi, ảnh hưởng đến mọi vật, một cách cộng tính: Ên Trô Pỳ […] của một tổng thể các vật (các “systems”), thì bằng tổng của các Ên Trô Pỳ của các vật.” Do đó, một hệ Trái Đất – mặt trời thuận ĐL II là:

dQ=0

Vậy nếu muốn nói “Thuyết tiến hóa sai vì nó vi phạm ĐL II” thì những càm ràm triết học, xã hội học như thế giới đang suy đồi, rằng không tin nổi tiến hóa chỉ là quá trình ngẫu nhiên, rằng sự phức tạp chẳng thể tăng lên nếu không có thêm thế lực này nọ lọ chai đều chỉ là cái mà nhà khoa học về sinh hóa kiêm nhà văn lừng danh Isaac Asimov từng miêu tả là “tư duy kiểu mẫu giáo chỉ phù hợp với trường mẫu giáo”. Quý vị chỉ cầnchỉ có thể thông qua chứng minh được:

(dQ=0)

Khi đó, tức là ĐL II không cho phép tiến hóa diễn ra trong hệ Trái Đất – mặt trời, đơn giản như đang giỡn!

Vậy thì ta phải tính được S, đúng hem? Có hai cách để tính S.

Tính theo Clausius

Rudolf Clausius, theo sách của Arieh Ben-Naim

Cách tính entropy đầu tiên dĩ nhiên phải thực tế như nguồn gốc của nó. Người ta đã mong là máy móc hơi nước cho bao nhiêu nhiệt thì làm ra bấy nhiêu việc có ích cho đời, ấy vậy mà cứ có gì đó phí phí. (Bạn có thể xem thêm video sau để biết phí thế nào, có tiếng Việt)

Entropy là để giải thích cho phần nhiệt hao hụt này chứ đâu. Entropy là đơn vị để ta đo coi nhiệt lượng thay đổi (phát tán/hấp thụ) như thế nào (dQ) tại một nhiệt độ T.

Vậy, “…Nói cách khác, nếu ta cho thêm một lượng nhiệt năng dQ vào một vật nào đó đang ở nhiệt độ T, thì entropy của nó sẽ tăng lên một lượng là dQ/T. Ngược lại, nếu ta hút đi một lượng nhiệt năng là dQ, thì entropy của vật cũng giảm đi một lượng là dQ/dT.”

The_Misunderstood_Nature_of_Entropy

Tính theo Boltzmann

Tôi hy vọng những gì ta bàn về entropy đã khiến ai đó trong các bạn ngứa ngáy: entropy là yêu quái phương nào mà dường như kháng thuốc với các quy luật khác của vũ trụ? Nó được định nghĩa dựa trên nhiệt lượng và nhiệt độ, nhưng nó không phải nhiệt lượng hay nhiệt độ. Không thể sờ nắn, cầm nắm, thu giữ, không thể đo nó bằng nhiệt kế. Làm gì có cái gì có thứ tăng lên mãi mãi, thế nó coi các định luật bảo toàn ra cái gì? Nó dùng nhiên liệu gì, nguyên liệu ở đâu để liên tục bành trướng? Vậy mà có người còn chọc điên bà con hơn: bảo rằng entropy mang tính xác suất! Ổng dám nói vầy nè:

giphy bill nye

 

Hay là vầy nữa nè: S=kBlnΩ

Ù uôi, các bạn cứ tin tôi, công thức nhìn ngắn gọn thế thôi chứ khuấy lên cả một bầu trời thị phi. “Trong suốt hơn 30 năm từ khi Boltzmann nghĩ ra công thức trên, thì bị thằng Ên Trô Pỳ trả thù bằng cách xúi giục các nhà khoa học lớn khác (như Planck, Poincaré) chế diễu công thức này, coi nó lẩm cẩm, khiến cho Boltmann uất chí đến mức tự tử ở Duino (Italia) vào năm 1906.”

giphy shocked

Mèn đét, làm gì căng? Ô-kê, S là entropy, k hay kB là hằng số (). Còn logW, hay lnΩ là lô-ga-rít của… cái gì? Ω “là số trạng thái vi mô (microstate) khác nhau mà nhìn vào hệ ta không phân biệt được (tức là cho cùng một trạng thái vĩ mô của vật)”. Bạn hiểu gì hông? Mình có đi lạc vô lớp kinh tế – chính trị nào hông?

Dịch ra tiếng người phàm thì tức là Ω (hay W) là số cách mà ta có thể sắp xếp các thành phần để cho ra cùng một kết quả tổng thể. Để giải thích, tôi mượn các ví dụ trong bài báo này. Bạn có 10 cuốn sách khoa học và muốn xếp chúng. Nếu muốn sách được sắp xếp alphabet theo họ tác giả, ta chỉ có một cách duy nhất để cho ra kết quả đó. Ω = 1, ln(Ω)=0 => S=klnΩ=0. Chúng ta chả biết gì về nhiệt của hệ này, mà ta đã biết entropy = 0 rồi đó :D.

Nếu ta muốn sách được chia thành 2 chủ đề rộng, Sinh học hay Vật lý thì lại khác. Trong nhóm sinh học, ta có thể để Darwin/ Schrödinger/Linnaeus/Simpson/Gould hay Simpson/Linnaeus/Gould/Darwin/Schrödinger hay bất kỳ thứ tự nào. Vậy bốc cuốn thứ nhất ta có 5 lựa chọn, bốc lần 2 ta chỉ còn 4 cuốn, lần 3 3 cuốn, lần 4 2 cuốn và lần cuối 1 cuốn, vậy ta có (5*4*3*2*1 = 5! = 120) cách sắp sách sinh học. Bên vật lý cũng có 5! cách sắp. Thứ tự bên trong không quan trọng, tất cả sẽ cùng cho ra một kết quả: 2 nhóm sách, sinh và lý. Vậy Ω = 5!5! = 14400.

Nếu sắp theo năm phát hành chia theo từng nửa thế kỷ, ta có 48 cách v.v

Và đây là chỗ ta phải nhìn ra tính thiếu sót của ẩn dụ “hỗn loạn/trật tự”.

Về entropy, thứ tự “(1)Simpson, Linnaeus, Gould, Darwin, Schrödinger/Newton, Hubble, Hawking, Einstein, Copernicus” hồi nãy ta dày công sắp xếp chẳng hề “hỗn loạn” hơn chuỗi “(2)Darwin, Gould, Linneaus, Schrodinger, Simpson/ Copernicus, Einstein, Hawking, Hubble, Newton” mặc dù ở chuỗi (2) chúng ta còn cẩn thận sắp xếp tên các ông trong nhóm theo alphabet. Chuỗi (1) cũng chẳng hề “trật tự” hơn chuỗi hoàn toàn ngẫu nhiên “(3)Simpson, Einstein, Hubble, Schrödinger, Newton/ Hawking, Gould, Linneaus, Darwin, Copernicus”, không có thứ tự gì về sinh, lý, chữ nghĩa hay ngày tháng. Đó là do (1), (2) và (3) đều có Ω = 1, tức chỉ có một cách duy nhất để có đạt được trạng thái (1) hay (2) hay (3). Dù cho chúng ta có cảm giác (2) trật tự > (1)>(3), entropy của chúng là như nhau. Tuy vậy, (1) và (2) là 2 cách sắp xếp (tức 2 trạng thái vi mô) của cùng một kết quả (trạng thái vĩ mô): sách được sắp theo 2 nhóm sinh/lý. Vì trạng thái vĩ mô này cho phép nhiều trạng thái vi mô hơn, và Ω là số lượng các trạng thái vi mô, nên Ω của nó lớn, dẫn đến entropy của nó cũng lớn theo.

Và nếu không yêu cầu gì cả, sắp sao cũng được, ta sẽ có số trạng thái vi mô tối đa. Vì Ω tối đa, cũng sẽ có S tối đa.

Trạng thái vĩ mô D bản thân nó không phải là “hỗn loạn” – chuỗi “Darwin, Gould, Linneaus, Schrodinger, Simpson/ Copernicus, Einstein, Hawking, Hubble, Newton” siêu gọn gàng cũng vẫn là một cách để D xuất hiện. D chẳng qua là một trạng thái có xác suất xảy ra cao hơn. Với xác suất xảy ra cao đó, ta có thể mong đợi trạng thái D xảy ra nhiều hơn (ở đây là cả triệu lần) các trạng thái khác. Điều đó thể hiện thông qua một con số Entropy cao.

Nguồn hình

Mực trong ly nước tại sao luôn lan ra? Tưởng tượng ly nước của chúng ta đang chứa 220 phân tử nước và 5 phân tử mực ở mặt phẳng tọa độ 2 chiều đơn giản. Trong hệ này, ở một thời điểm nhất định, các phân tử mực chỉ nằm đâu đó trong phạm vi màu xám. Ở thời điểm t = 0 giây, mực vừa được nhỏ, 5 phân tử mực chỉ có thể nằm trong phạm vi 9 ô giữa ly. Có Ω = 126 cách sắp xếp 5 phân tử vào 9 ô. Thông qua khuếch tán, chỉ sau một giây mực có thể chiếm một phần diện tích rộng hơn, từ 9 lên 25, và Ω tăng lên hơn 400 lần. Chỉ sau một giây nữa, Ω đã là 1.9*10^6 ! Mà đó chỉ là 2 chiều, với một ly nước thật, vùng xám còn mở rộng nhanh hơn. Vậy, với Ω tăng vũ bão, thì entropy cũng tăng vũ bão. Entropy của trạng thái vĩ mô mực phân tán nhiều sẽ cao hơn entropy của trạng thái vĩ mô mực phân tán ít sẽ cao hơn entropy của trạng thái vĩ mô mực không phân tán.

Entropy có phải cái đẩy các phân tử mực đi không? Không. Sẽ không có gì xảy ra nếu hình ở trên là một hộp bi. Phân tử thì khác, chúng không đứng yên mà chuyển động ngẫu nhiên, liên tục, chúng va vào nhau và đổi hướng và tốc độ liên tục. Đây là một hiện tượng tự nhiên độc lập. Có khả năng đẩy đưa một hồi mực tụ lại giữa ly không? Có chứ, nhưng bạn thấy đó, đơn giản là số lượng các trạng thái mà mực lan ra hoàn toàn áp đảo số lượng các trạng thái mà mực hội tụ, thế nên xu hướng của hiện tượng đẩy đưa phân tử ở trên sẽ là lan ra = khuếch tán.

Vậy, ĐL II có thể hiểu là:

HỆ CÓ XU HƯỚNG ĐI TỚI TRẠNG THÁI CÓ XÁC SUẤT CAO

Với entropy là đơn vị để chúng ta xác định xem trạng thái nào có xác suất cao đó.

Vì thế:

  • Entropy không phải là nhiệt lượng hay nhiệt độ.
  • Entropy không cầm nắm, sờ nắn, thu giữ được.
  • Entropy có thể tăng không ngừng.

Bởi vì không phải là một thế lực vật lý, entropy là lý lẽ về xác suất của các hiện tượng thiên nhiên. Và ông Boltzmann ở đầu bài là người đã túm cổ được thằng entropy này trong phương trình thanh lịch: S=klnΩ.

Đó, giờ các bạn có thể hiểu tại sao các nhà khoa học, mà GS Dũng gọi vui là các “hủ lý”, đương thời hổng vui với Boltzmann: vì họ là đã thề nguyền với một vũ trụ tất định (deterministic), nơi các định luật khoa học nói 1 là 1, 2 là 2, không có vụ “có lẽ”, “xu hướng”, “xác suất”. Tuy nhiên, “Ngày nay các nhà hủ lý đều chấp nhận công thức trên của Boltzmann, và trên bia mộ của ông ta có khắc nó.”

Nói nhiều vậy vì mục tiêu của tôi không phải là thuyết phục các bạn tin thuyết tiến hóa, mà là để các bạn thực sự hiểu phần khoa học, đừng bị người chống tiến hóa lòe bằng vài lời nói cắt cúp :D.

Rồi, bắt tay vào tính toán thôi

B. GHI BÀN – TA TÍNH NHƯ THẾ NÀO?

I. Mặt trời

Nhiệt là chuyên môn của mặt trời, vậy tính theo Clausius cho lẹ. Với dS=dQ/T thì:

Mà dQ/dt là nhiệt lượng được truyền đi trong một khoảng thời gian, gọi là P. Ở đây, P là nhiệt lượng ròng truyền từ mặt trời đến Trái Đất. Nhiệt độ tuyệt đối của mặt trời là T mặt trời, của trái đất là T trái đất. Khi truyền nhiệt, entropy thay đổi theo P/T, trái đất có thêm entropy, mặt trời giảm entropy (dấu (-) ). Vậy, lượng entropy tưới lên trái đất là

Vì T mặt trời lớn hơn nhiều lần T trái đất, ta ước tính:

Tra dữ liệu các bên khác đã đo đạc được, với và T trái đất = 288 K

Nguồn

Ta tính được (mũi tên đỏ)

Rồi đó, phần thứ nhất của phương trình quyết định.

Đến phần 2, entropy của sự sống và tiến hóa

II. Chứng minh của Styer

Ta thấy cái (dS/dt) mặt trời ở trên là sự thay đổi entropy của mặt trời do chiếu cố trái đất tính bằng giây. Vậy để đối chiếu ta cũng phải tính ra với tính cái dS/dt của tiến hóa tính bằng giây. Nhưng tiến hóa là quá trình lâu dài, đâu thể tính bằng giây được?

Nếu bạn phải tính có bao nhiêu hạt gạo trong 1 kg thì bạn làm sao? Đếm 1 ít rồi nhân lên, đúng không? Styer cũng vượt qua thử thách này bằng cách đi theo hướng giả sử nhờ tiến hóa, mỗi một sinh vật đều “bất khả thi” (improbable) hơn tổ tiên 100 năm trước của nó 1000 lần, với Ωf của hậu duệ chỉ bằng 0.001 so với Ωi tổ tiên (chúng ta đang đi ngược lại mũi tên của giọt mực trong nước đấy!)

Với S=kBlnΩ

Đó là thay đổi entropy của 100 năm, trong một giây, con số sẽ là cho một sinh vật. Styer ước lượng có sinh vật nhân thực vàsinh vật nhân sơ, rồi hào phóng cho hẳn tổng số lượng sinh vật trên trái đất là luôn. Vậy, thay đổi entropy trong sinh quyển mỗi giây sẽ là -302 J/K.

Lúc nãy ta tính được là mỗi giây mặt trời tưới cho trái đất

tức là gấp hàng nghìn tỷ lần lượng entropy để duy trì tốc độ tiến hóa đã tính.

II. Chứng minh của Bunn

Ông Bunn không hài lòng với con số 10^-3 của ông Styler nên viết một bài báo bổ sung đăng cùng tạp chí. Mấy nhà khoa học xịn thường phiền phức như vậy, dù có cùng là “tín đồ tiến hóa” với nhau cũng quất lại liền, hổng thấy nể mặt mũi. Mà quất bằng kiến thức và con số không à, không phải bằng suy diễn và điển tích điển cố nên đọc mắc mệt, hổng có kích động, hổng có gợi cảm.

Ông Bunn chơi kiểu khác, ổng tính mức suy giảm entropy tối đa mà quá trình tiến hóa có thể gây ra, cao hơn nhiều lần so với lịch sử tiến hóa đã xảy ra. Cách ổng làm cực kỳ tinh quái: Ổng tính entropy của Trái đất hiện tại và so với entropy của một Trái đất hoàn toàn chết. Mọi nguyên tử có mặt trong các sinh vật ở Trái đất này tồn tại ở dạng tự do, không sống ở Trái đất kia. Vậy, muốn có Trái đất sống, mỗi một nguyên tử của Trái đất chết phải được nhổ khỏi vị trí và đặt chính xác vào đúng chỗ của nó trên cơ thể sinh vật tương ứng. Vậy, entropy của Trái đất Chết sẽ ở mức tối đa, entropy của Trái đất Sống sẽ ở tối thiểu. Vậy, quá trình để Trái đất Chết biến thành Trái đất Sống là sự thay đổi entropy dS= S(sống, rất nhỏ) – S(chết, rất lớn)=> dS âm “hết cỡ” => cũng âm “hết cỡ”.

Vậy nếu rốt cuộc vẫn tính ra được

thì tức là mặt trời có đủ entropy cho sự biến đổi cách mạng này. Nếu vậy thì chắc chắn nó dư sức đối phó với biến đổi dịu hiền của tiến hóa thực sự. Đó, ta đã chứng minh được mà không cần giả định hay biết chính xác tốc độ tiến hóa :D.

Cách tính thông qua số lượng nguyên tử:

Với Nb là số lượng phân tử cần để tạo nên sinh khối (biomass) trái đất sống và µ là thế năng hóa học của một phân tử trong khí quyển trái đất chết. Ước lượng tổng số carbon trong sinh quyển là 10^15 kg. Dù có tăng con số này lên 100 lần để tính cả các chất khác vào nữa, ta cũng sẽ có ít hơn 10^43 phân tử. Sử dụng các tính toán chuẩn như theo Schroeder, ta có . Vậy, lượng giảm entropy để có thể có sự sống trên Trái đất là tối đa:

Ta đã tính được:

Ê! Nhỏ hơn rồi kìa, entropy mặt trời nhỏ hơn rồi. Tiến hóa mâu thuẫn ĐL II rồi, ồ de! Khoan, đó là một giây. Một giây mặt trời không cung cấp đủ entropy để biến một trái đất chết thành sống, nhưng tiến hóa đâu diễn ra trong một giây. Thế bây giờ ta phải tính xem phải cho mặt trời ít nhất bao lâu thì đủ cho tiến hóa.

10^7 giây là ít hơn một năm. Vậy, tiến hóa sẽ vẫn không vi phạm ĐL II nếu Trái Đất thật sự 6000 tuổichỉ trông có vẻ già, hay được búng ra hồi Olympic Bắc Kinh, hay hiện tất cả chúng ta đang bị đút ống ở trong ma trận.

C. ĐỘI CHỐNG TIẾN HÓA KHIẾU NẠI

Ta đã thấy rõ Trái Đất có thừa entropy để chơi tới Tết Công-gô với tiến hóa, nhưng thay vì thừa nhận thẳng thắn “Tiến hóa không mâu thuẫn với ĐL II”, người chống tiến hóa (NCTH) sẽ bắt đầu bẻ lái về “thông tin”, như sau:

“Hai, tuy Trái Đất được cung cấp năng lượng của Mặt Trời, nhưng năng lượng không đủ để duy trì sự sống. Đặt một sinh vật liên tục ngoài trời nắng, sinh vật đó sẽ chết, thay vì duy trì và phát triển sự sống. Vậy năng lượng mặt trời phải được sử dụng một cách thông minh và có hiệu quả theo một chương trình kế hoạch hợp lý thì sự sống mới được duy trì và phát triển. Cái gì làm công việc chỉ dẫn sử dụng năng lượng mặt trời như thế? Thông tin! Phải có thông tin, mệnh lệnh chỉ dẫn các tế bào sử dụng năng lượng mặt trời. Thông tin ấy từ đâu ra? Vật chất, các phản ứng hóa học không thể tự nó tạo ra thông tin. Thuyết Tiến hóa bất lực trong việc tạo ra thông tin chỉ dẫn sự sống. Vì thế sự sống sẽ không thể sinh sôi nẩy nở nếu không có thông tin, mặc dù có năng lượng mặt trời.”

Thưa các bạn, đây là một ví dụ về cái gọi là “dời chỗ khung thành”, một hoạt động thường xuyên của NCTH. Họ thường đặt ra cho chúng tôi một thách thức không được định nghĩa rõ ràng và khéo léo mở rộng, rẽ hướng phòng khi bị phản biện thành công.

Kỹ thuật “đan móc” lập luận này khá tinh tế, để tôi tìm cách gỡ ra cho bạn xem:

Khẳng định: “Tiến hóa không thể xảy ra vì mâu thuẫn ĐL II.”

=> Cụ thể hóa: Tiến hóa không thể xảy ra vì entropy phải tăng

Chúng ta đã thấy:

  1. Entropy có thể giảm nếu có sự tăng entropy ở chỗ khác

     

  2. Trái Đất có đủ thời gian và có đủ sự tăng entropy cần thiết.

Và rồi nó biến hình thành:

“…sự sống sẽ không thể sinh sôi nẩy nở nếu không có thông tin, mặc dù có năng lượng mặt trời.”

Tức là “Tiến hóa vẫn cần những điều kiện khác ngoài việc không có vấn đề về entropy”

bộ mặt thật của câu đó là “Dù có không vi phạm ĐL II đi nữa, tôi vẫn không tin thuyết tiến hóa vì tôi không biết xyz đến từ đâu

Nên nhớ, mấu chốt của lập luận “Tiến hóa không thể xảy ra vì mâu thuẫn ĐL II” là “ĐL II có cho phép tiến hóa xảy ra hay không?” chứ KHÔNG phải là “Tiến hóa đã diễn ra như thế nào?”. Như đã nói, ĐL II là về năng lượng, về entropy, thì ta chỉ cần chứng minh bằng toán học và vật lý rằng:

dQ=0

… thì câu trả lời là và không còn gì để kiện cáo nữa. Điều đó, ta đã làm được rồi. Không vi phạm là không vi phạm là không vi phạm. Tuy nhiên tôi vẫn sẽ giải thích cho các bạn sự sống đã ngược dòng entropy (tạm thời và cục bộ, dĩ nhiên) như thế nào ở bài sau, vì nó hay :D.

2 Comments

    1. Hi, bạn tham khảo cách này nha.
      Nói chung là tạo category cho từng bài viết và tạo menu dẫn link đến cái category đó.
      “So the process you need to use is:

      a. Assign Categories to your Posts. https://en.support.wordpress.com/posts/categories

      b. Create a custom menu https://en.support.wordpress.com/menus/#1-create-a-custom-menu

      c. Add only the dynamic category page links into the custom menu that you want to appear in that menu https://en.support.wordpress.com/menus/view-all/#adding-category-pages and arrange them as you wish them to appear https://en.support.wordpress.com/menus/view-all/#changing-the-order-creating-sub-menus

      d. Create pages and sub-pages for static content, not for posts https://en.support.wordpress.com/pages/

      e. Add any custom links and other items like static pages and sub-pages into your custom menu
      https://en.support.wordpress.com/menus/view-all/#adding-custom-links https://en.support.wordpress.com/menus/view-all/#adding-pages
      and arrange them as you wish them to appear https://en.support.wordpress.com/menus/view-all/#changing-the-order-creating-sub-menus

      https://wordpress.com/forums/topic/how-do-i-add-blog-posts-to-different-pages/

      Đã thích bởi 1 người

Bình luận về bài viết này